編者按
金剛石(diamond,也譯作鉆石)在用于下一代電子設備的所有已知半導體中擁有最高的品質因數(figure-of-merits ),表現遠遠超出了傳統半導體硅的性能。為了實現金剛石集成電路,我們需要開發具有n 溝道和 p 溝道導電性的金剛石互補金屬氧化物半導體 (CMOS) 器件,就像為半導體硅建立的器件一樣。
然而,由于 n 型溝道 MOS 場效應晶體管 (MOSFET) 的挑戰,金剛石 CMOS 從未實現。在這里,我們基于step-flow nucleation 模式制造了具有原子級平坦表面的電子級磷摻雜(phosphorus-doped)n型金剛石外延層。因此,展示了 n 溝道金剛石 MOSFET。n型金剛石MOSFET在573 K時表現出約150 cm2V-1s-1的高場效應遷移率,這是所有基于寬帶隙半導體的n溝道MOSFET中最高的。
這項工作有助于開發節能且高可靠性的 CMOS 集成電路,用于惡劣環境下的高功率電子器件、集成自旋電子學和極端傳感器。
簡介
現代電子學以硅互補金屬氧化物半導體 (CMOS) 技術為主導。然而,硅CMOS一直面臨著高功率密度、高頻、高溫、高輻射等條件的瓶頸。
與其他半導體相比,金剛石因其優越的特性而被視為*半導體。金剛石 CMOS 器件長期以來一直致力于實現超越傳統硅電子器件能力的性能。通過使用金剛石電子器件,不僅可以減輕傳統半導體的熱管理需求,而且這些設備的能源效率更高,并且可以承受更高的擊穿電壓和惡劣的環境。
另一方面,隨著金剛石生長技術、電力電子學、自旋電子學、和可在高溫和強輻射條件下工作的微機電系統(MEMS)傳感器的發展,基于金剛石CMOS器件的外圍電路需求已增加了單片集成度。P型金剛石很容易通過批量硼摻雜或氫封端金剛石表面的表面轉移摻雜獲得。(P-type diamonds are readily accessible through bulk boron doping or surface transfer doping of a hydrogen-terminated diamond surface.)然而,為了實現金剛石CMOS,必須實現對稱摻雜控制,就像半導體硅所實現的那樣。因此,需要開發金剛石n-MOS。
然而,由于電子級高質量n型金剛石生長面臨重大挑戰,n溝道金剛石MOSFET長期以來一直是一個障礙,至今尚未實現。
迄今為止,磷(phosphorus)已被認為是室溫下*可靠的最淺 n 型摻雜劑,盡管與 C (0.77 Å) 相比,P (1.08 Å) 的共價半徑(covalent radius )較大且平衡形成能較高(high equilibrium formation energy ) (4–5.7 eV) )。然而,由于磷摻雜金剛石中載流子補償比較大,在約1017cm-3的低施主濃度下(low donor concentration)很難實現n型導電,阻礙了n溝道MOSFET的發展。除了磷半徑比碳大而引起的缺陷之外,化學氣相沉積 (CVD) 過程中將大量氫摻入金剛石外延層也會鈍化磷原子并降低電導率。
在這項研究中,基于階梯流橫向生長模式(step-flow lateral growth mode)實現了具有原子級平坦平臺的電子級n型金剛石。因此,在不觀察跳躍電導率的情況下獲得了具有約1017cm-3的低施主濃度的N型金剛石。因此,可在 573 K 工作溫度的 n 型金剛石 MOSFET 已成功開發。573 K下的實驗場效應電子遷移率約為150cm2V-1s-1,這是高溫下所有寬帶隙半導體中最高的。
結果與討論
1.高質量摻磷金剛石外延層
我們通過微波等離子體化學氣相沉積 (MPCVD:microwave plasma chemical vapor deposition) 在 Ib (111) 型取向高壓高溫 (HPHT:high-pressure high-temperature) 金剛石基板上生長了磷摻雜金剛石外延層。n型金剛石包含兩個磷摻雜外延層:用于器件溝道的輕摻雜(lightly doped)n-金剛石外延層和用于歐姆接觸的重磷摻雜金剛石外延層。
600 nm 厚的輕摻雜n-層金剛石外延層直接生長在 HPHT 金剛石基板上。隨后,利用自制的MPCVD反應器在n-層上沉積了100 nm厚的重磷摻雜n+層,提高了磷摻入金剛石外延層的效率。生長的金剛石 (111) 具有未重構的一氫化物封端表面(unreconstructed monohydride-terminated surface)。n-型金剛石在金剛石(111)襯底上的同質外延生長遵循階梯流生長模式。
通過原子力顯微鏡(AFM:atomic force microscopy)觀察,形成了原子級平坦的平臺(圖1A),如圖 1B所示;圖 S1(支持信息),平均粗糙度 (Ra) ≈0.1 nm。盡管在整個外延層中形成了臺階,但對于 10 × 10 µm2的較大區域,平臺的平均粗糙度為 ˂ 1 nm (圖 S2 ,支持信息)。平臺寬度(terrace width)為數百納米,臺階高度(step height)約為3納米(圖 S3,支持信息)。表面臺階(surface steps )是由 HPHT 金剛石 (111) 基材的誤切造成的。
由此可見,階梯流生長模式產生了高質量的n-金剛石外延層。拉曼圖(Raman mapping)顯示金剛石的特征峰在0.135 cm-1范圍內表現出較小的色散,并且n-金剛石外延層的金剛石峰的半高全寬(FWHM:full-width at the half maximum)集中在1.75 cm-1處,優于 HPHT 金剛石基材的1.95 cm-1(圖 1C、D)。
n-層中的應力低至-12 MPa ,晶體質量與在(100)金剛石基板上生長的同質外延金剛石層相當。如果假設壓應力主要是由磷原子的摻入引起的,則 CVD 金剛石外延層中磷濃度的橫向分布是均勻的。n + /n −的磷濃度 使用二次離子質譜 (SIMS:secondary ion mass spectrometry) 測量金剛石基底上的金剛石,如圖 S4(支持信息)所示。100nm厚的n +層的磷濃度為約1020cm-3。600nm厚的輕摻雜n -層金剛石外延層的磷濃度為N D ≈1017cm-3。SIMS 數據中可以觀察到磷濃度沿生長方向均勻分布。
另外,SIMS深度剖面顯示氫含量被控制在1017cm-3的噪聲水平。磷和氫原子良好控制地摻入金剛石外延層意味著金剛石外延層具有高晶體質量,這對于實現 n 型導電性至關重要。此外,沒有從外延層檢測到與氮空位(nitrogen-vacancy)相關的發光。

圖1
由于金剛石中磷的深層性質,電子濃度很大程度上取決于溫度。電子濃度計算如下:

其中n表示導帶中的自由電子濃度,ND表示磷濃度(phosphorous concentration),NA表示補償受主密度(compensating acceptor density),NC表示有效導帶態密度(effective conduction band density of states),g表示施主簡并因子(degeneration factor of the donors),ED表示供體的活化能(the activation energy of the donors),kB是玻爾茲曼常數,T表示溫度。
電子密度在 300 K 時約為 1010cm-3,在 573 K 時增加了四個數量級,ND約為1017cm-3(圖 S5,支持信息)。補償受主濃度NA約為2×1016cm-3。在室溫下,通過霍爾效應測得的電子遷移率約為623cm2V-1s-1。輕摻雜的n -層即使在573 K 時也表現出212cm2V-1s-1的高電子遷移率(圖S6,支持信息)。輕摻雜n -層薄膜的電阻率在室溫下約為106Ω cm,在573 K時降至100Ω cm(圖 S7,支持信息),熱活化能ED約為0.57 eV。
2.N型金剛石MOSFET的電學特性
我們制造了具有兩種幾何形狀的 n 溝道金剛石 MOSFET:rectangular 和Corbino(圖 2;表 S1,支持信息)。源極(S)和漏極(D)接觸形成在重磷摻雜的n+層上,該層是退火(annealed)的Ti(50 nm)/Pt(10 nm)/Au(60 nm)。重摻雜 n +金剛石的電阻率在室溫下約為 80 Ω cm,在 573 K 時為 20 Ω cm。輕摻雜磷 n -層用作 MOSFET 的溝道。S 和 D 電極之間的頂部重摻雜 n +金剛石層在氧等離子體中蝕刻,直到到達輕摻雜層。
柵極氧化物是在 473 K 下通過原子層沉積 (ALD) 沉積的 30 nm 厚的 Al2O3。柵極金屬由 10 nm 厚的 Ti 層和 60 nm 厚的 Au 層覆蓋組成。柵極長度( Lg)為5μm和10μm,源極-漏極( Lsg)和漏極-柵極間隔( Ldg)分別為5μm和10μm。
Corbino MOSFET 柵極的內徑和外徑分別為 220 µm 和 230 µm。對于此處研究的rectangular MOSFET(1 號器件),Lg為 5 µm,Lsg= Ldg = 10 µm,柵極寬度約為 900 µm。圖 2A、B分別顯示了 n 型金剛石 MOSFET 的原理圖和光學圖像。MOSFET 的電氣特性是在真空室 (10-3Pa) 中使用半導體參數分析儀和屏蔽探針臺進行的。為了進行電氣特性表征,MOSFET 的溫度從室溫升至 573 K。

圖2
圖2C顯示了矩形 MOSFET 的 漏極電流 ( Id)(通過柵極寬度歸一化)與漏極電壓 ( V ds )的關系。在這里,我們展示了在三個溫度下測量的Id– Vds特性:300 K (RT)、423 K (150 °C) 和 573 K (300 °C)。MOSFET 的柵極電壓 ( Vgs) 在 -20 至 10 V 之間變化,步長(steps)為 5 V。漏極電流由柵極電壓很好地調制,顯示出典型的 n 型溝道晶體管行為。Vds= 20 和Vgs= 5 V 時的*漏極電流 ( Id,sat )在 300 K 時約為 0.027 µA mm-1。然而,進一步增加Vgs> 5 V 導致漏極電流幾乎沒有改善,因為到高串聯電阻。直到 MOSFET 的漏極電流在某個溫度下隨時間穩定為止,獲得與溫度相關的Id− Vds特性。
如圖2C(ii)、(iii)所示 ,由于磷的熱電離,漏極電流隨著溫度的升高而顯著增加。在高溫下且Vds= 20 V 和Vgs= 10 V 時,漏極電流在 423 K 時增加至 2.9 µA mm-1,在 573 K 時增加至 105µA mm -1,分別比該值高出兩個和四個數量級分別為 300 K。這與電阻率對溫度的依賴性一致(圖 S7,支持信息)。達到飽和所需的漏極電壓隨著溫度和柵極電壓的增加而增加,即在 573 K 和Vgs= 10 V時飽和時,Vds> 30 V。估計導通電阻在 RT 時約為 5 GΩ mm ,在 573 K、 Vgs= 10 V時減小至 160 kΩ mm。其他溫度下 MOSFET 電氣特性的變化如圖 S8 – S12(支持信息)所示。不同柵極電壓下漏極電流對測量溫度的依賴性(圖 S13,支持信息)。漏極電流隨溫度呈指數增加。使用溫度相關漏極電流的阿倫尼烏斯方程進行擬合可提供 0.45 eV 的熱活化能。
MOSFET 的傳輸特性或與柵極電壓相關的漏極電流如圖3A ( 300 K 時)和圖 3C(573 K(573 K)、 飽和區V ds= 20 V 時)。在Vds= 20 V 時,柵極電壓為 10 V 和 −20 V 時的漏極電流比在 RT 下 > 200,在 573 K 下為 100 倍 。與基于硼摻雜金剛石的 MOSFET 類似,n 型金剛石 MOSFET 表現出深度耗盡模式。在低于 473 K 的溫度下,在傳輸曲線中觀察到很小的滯后。在 573 K 時僅觀察到輕微的滯后。*跨導gm在 300 K 時約為 0.012 µS mm-1,在 573 K 時約為 4 µS mm-1。使用Vgs與Id0.5的圖形方法提取閾值電壓 ( V th ) (圖 3B,D ),即 ≈−25 V。V th隨柵極掃描方向、柵極掃描方向或溫度的變化很小(圖4A)。還測量了具有不同幾何形狀的其他器件,其電氣特性如圖S14 – S17 (支持信息)所示,并且觀察到了類似的 n 溝道行為。例如*飽和漏極電流、*跨導、閾值電壓和溫度等電氣性能,與具有相似尺寸的 MOSFET 相當(表 S1,支持信息)。

圖3

圖4
3.場效應電子遷移率建模
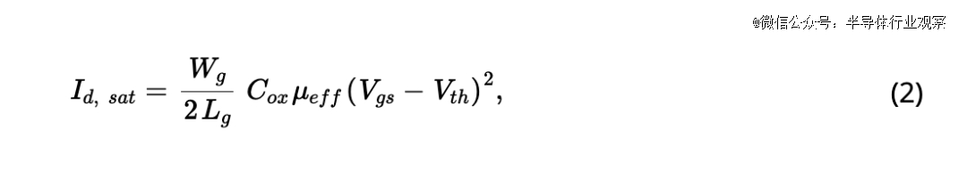
對于遷移率不依賴于柵極電壓或串聯電阻的理想 MOSFET,可以使用飽和區的二次模型計算有效電子遷移率 µeff,如下所示:

其中 I d,stat表示飽和區的漏極電流,Cox表示柵極氧化物的電容。我們嘗試使用方程( 2 )確定場效應電子遷移率。然而,在300 K時,場效應遷移率低至0.02cm2V-1s-1,明顯偏離霍爾測量所測得的合理值(低近3000倍)。將串聯電阻代入等式(2)不會導致遷移率發生本質變化。隨著溫度的升高,觀察到場效應電子遷移率增加,這是不合理的。在573 K時,使用公式( 2 )計算出的電子遷移率約為150 cm2V-1s-1(圖 4B),在高溫下遠高于基于SiC、GaN和Ga2O3的n溝道MOSFET 。請注意,由于源極/漏極和漂移區中的大串聯電阻以及金剛石中磷的部分熱電離,即使在 573 K 時遷移率也被低估。
為了精確評估場效應遷移率,我們考慮 i) 磷供體的熱電離效率,ii) 串聯電阻,以及 iii) 遷移率降低因素(即缺陷散射)。因此,在線性區,漏極電流(I d)可表示為:

其中M表示施主占據因子(donor occupancy factor),即束縛施主電荷與通道電荷的比率(a ratio of bound donor charge to channel charge),反映施主的電離率(ionization rate of the donor ),并與電子的準費米能級(the quasi Femi level of electrons)相關。
在這里,我們假設 M 與溝道深度無關。請注意,M 的解析形式與自由電子密度與摻雜密度之比不同(支持信息)。M越大,自由電子密度與摻雜密度的比值越小。α 是與施主濃度相關的降低漏極電流的因子,此處約為 1.1。γ 包括調節遷移率的 θ 和 η 因子(支持信息)。因子θ與常規載流子散射和串聯電阻的影響有關。漏極電壓對載流子遷移率的影響與γ中包含的參數η有關。非零的 η 主要是由于氧蝕刻導致納米級/微米級臺面結構的不規則性。在遠高于閾值電壓的區域中模擬電子遷移率。由于漏極電壓小、源漏極距離大、柵極長度大,不考慮載流子速度的飽和。
模擬中金剛石中磷的熱電離設定為 0.57 eV。我們獲得了n型MOSFET在0V柵極電壓下的場效應遷移率,如圖 4C所示。在300 K 時遷移率模擬為約638 cm2V-1s-1,考慮施主占據因子M 和串聯電阻,遷移率在573 K 時降低至約200 cm2V-1s-1。對于理想的 MOSFET,M 隨著電流的增加而減小,最終達到零。M 在 300 K 時計算為 2278,在 573 K 時降至 ≈4(圖 S18,支持信息),揭示了 n 型金剛石 MOSFET 耗盡模式。值得注意的是,沒有考慮補償受體效應。通過考慮施主占用因子和串聯電阻,漏極電壓與漏極電流的模擬特性顯示在 SM 中(圖 S19 ,支持信息)。低漏極電壓區域存在輕微差異,主要是由于S 和 D 電極中n +和 n -層之間的勢壘所致。
我們注意到,模擬是在假設整個n -層導電的情況下進行的。考慮到氧封端磷摻雜(oxygen-terminated phosphorous-doped)n型(111)金剛石的Femi能級pining,會發生溝道的次表面耗盡(depletion)。使用類似的 n-金屬肖特基 FET 進行模擬-溝道金剛石層顯示亞耗盡層約為50 nm。對于 n 型 MOSFET,沿絕緣體中固定電荷的 Femi 能級pining會修改模擬中的 Femi 電勢。應進行詳細的實驗和理論研究,以揭示未來缺陷狀態的影響。
目前,p溝道金剛石MOSFET已得到廣泛開發,并已建立常規制造工藝。由于缺乏金剛石 n-MOS,據報道使用金剛石 p-MOS 和 III 族氮化物 n-MOS 可以實現互補電路。雖然這是一個很有前途的策略,但全金剛石CMOS是充分利用金剛石品質因數的*追求,特別是對于在惡劣環境(高溫和強輻射)下運行的電子產品。對于高頻工作,與截止頻率超過GHz的H端晶體管相比, n型金剛石MOSFET的串聯電阻仍然很大,在室溫下超過109Ω mm-1。因此,運行速度被限制在千赫茲范圍內。然而,在溫度 > 573 K 時,串聯電阻會降低三個數量級以上。開關速度為 ˂ 5 µs(圖 4D),也可以通過施加到柵極的信號來調節。
由于溝道電導率的增加,柵極振幅越大,開關速度越快。通過優化器件幾何形狀,例如減小漂移區空間和柵極長度,工作頻率可以超過兆赫茲范圍,輕松滿足輻射探測器和MEMS傳感器的混合信號電路的要求。此外,n型金剛石可以穩定帶負電的氮空位(NV -)態,大大提高靈敏度。因此,金剛石 CMOS 集成 NV 中心有利于金剛石自旋電子器件的開發,這些器件需要專門的可控性和完整性來擴展量子傳感協議。
金剛石中磷的深層性質有利于在具有氫終端的輕摻雜磷金剛石外延層中產生表面 p 型導電性。因此,可以實現基于輕摻雜n型金剛石平面工藝的金剛石CMOS。通過使用MEMS技術來設計能帶結構,n型金剛石MOSFET的性能可以進一步提高。這項研究揭示了單片集成金剛石芯片,其中電子學、自旋電子學和傳感器都基于金剛石。
結論
總之,在磷摻雜同質外延 (111) 金剛石外延層上展示了 n 型溝道金剛石 MOSFET。n型(111)金剛石外延層是基于步進流成核模式( step-flow nucleation mode)生長的,能夠精確控制晶體質量和施主分布。n-MOSFET 在 573 K 時表現出約 150 cm2V-1s-1的高遷移率,這是高溫下優于其他寬帶隙半導體的顯著特征。優異的高溫性能為開發用于惡劣環境下的高功率電子器件、集成自旋電子學和極端傳感器的金剛石 CMOS 電路提供了途徑。
文章內容僅供閱讀,不構成投資建議,請謹慎對待。投資者據此操作,風險自擔。
海報生成中...
海藝AI的模型系統在國際市場上廣受好評,目前站內累計模型數超過80萬個,涵蓋寫實、二次元、插畫、設計、攝影、風格化圖像等多類型應用場景,基本覆蓋所有主流創作風格。
IDC今日發布的《全球智能家居清潔機器人設備市場季度跟蹤報告,2025年第二季度》顯示,上半年全球智能家居清潔機器人市場出貨1,2萬臺,同比增長33%,顯示出品類強勁的市場需求。